首页 / 社区 / 吉他

80年代的歌吉他谱_赵雷_G调弹唱谱_简单吉他完美版

吉他板块 0 1378
guitar
guitar 2020-04-13
1 积分

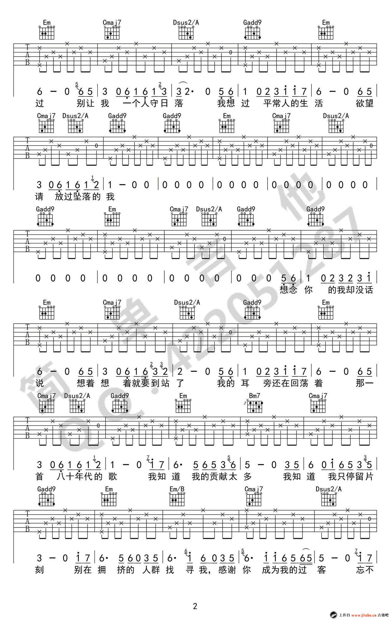
赵雷 吉他谱赵雷《八十年代的歌》吉他谱,G调指法,变调夹夹五品。80年代的歌吉他谱,吉他弹唱谱三张图片,六线谱高清编配格式,简单吉他编配制谱。
你推荐的歌我都听过,听过后和你一样寂寞。忘不了我担心的你,抹不去我多情的思绪,我无法拉近你我的距离,这距离就像飞鸟和鱼。赵雷的一首民谣歌曲,略带忧愁的叹息弥漫整个怀旧的时光。
赵雷 80年代的歌吉他谱赵雷 八十年代的歌 吉他谱六线谱赵雷 80年代的歌简谱

评论
提交